Skip to content
章节导航

HashMap 核心数据结构之红黑树

234树原理

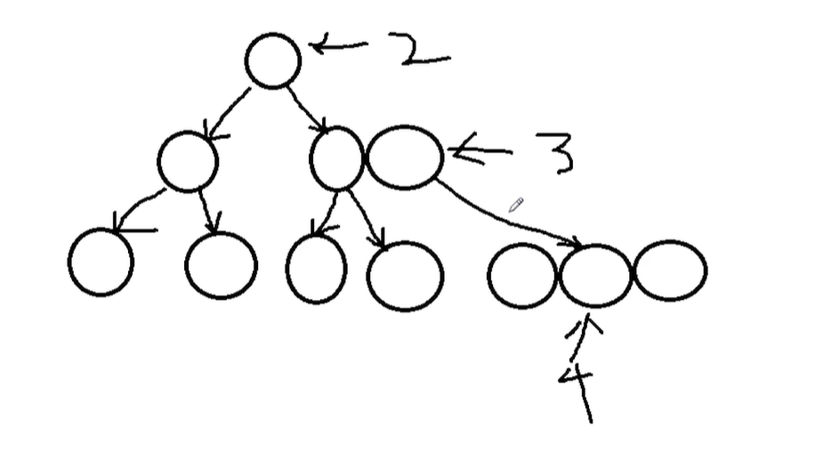
如下图,就是二节点可以挂两个子节点,三节点可以挂三个子节点,四节点它可以挂四个子节点 这个二三数跟这个红黑数有啥关系呢,比如说二节点它会直接转成这红黑数里面的黑色节点,三节点它会转化成上黑下红,然后四节点它会转成上黑下两红

红黑树特性

阿巴,阿巴阿巴,如此如此,这般这般,有点抽象,先不做笔记了

红黑树添加原理

阿巴,阿巴阿巴,如此如此,这般这般,有点抽象,先不做笔记了